1082: [기초-종합] 3 6 9 게임의 왕이 되자!(설명)(C)
[만든사람 : 전현석, 정종광(채점데이터 및 확인), 배준호(확인), 최웅선(확인), 김지혜(그림) (2013)]
문제 설명
본 문제는 C 의 빠른 기초 학습을 위해 설계된 문제로서 C 코드 제출을 기준으로 설명되어 있습니다.
------
3 6 9 게임을 하던 영일이는 3 6 9 게임에서 잦은 실수로 계속해서 벌칙을 받게 되었다.
3 6 9 게임의 왕이 되기 위한 마스터 프로그램을 작성해 보자.
예시
...
int i;
for(i=1; i<=100; i++) //1부터 100까지 반복
{
if(i%3==0 || i%5==0) printf("%d ", i); //3또는 5의 배수인 경우 그 수 출력
}
...
참고
중첩의 원리
반복 실행 구조 안에 선택 실행 구조를 자유롭게 중첩할 수 있다.
** 3 6 9 게임은?
여러 사람이 순서를 정해 순서대로 수를 부르는 게임이다.
만약 3, 6, 9 가 들어간 수를 자신이 불러야 하는 상황이면, 대신 "박수" 를 쳐야 한다.
33까지 진행했다면? "짝짝"과 같이 박수를 두 번 치는 형태도 있다.
------
3 6 9 게임을 하던 영일이는 3 6 9 게임에서 잦은 실수로 계속해서 벌칙을 받게 되었다.
3 6 9 게임의 왕이 되기 위한 마스터 프로그램을 작성해 보자.
...
int i;
for(i=1; i<=100; i++) //1부터 100까지 반복
{
if(i%3==0 || i%5==0) printf("%d ", i); //3또는 5의 배수인 경우 그 수 출력
}
...
참고
중첩의 원리
반복 실행 구조 안에 선택 실행 구조를 자유롭게 중첩할 수 있다.
** 3 6 9 게임은?
여러 사람이 순서를 정해 순서대로 수를 부르는 게임이다.
만약 3, 6, 9 가 들어간 수를 자신이 불러야 하는 상황이면, 대신 "박수" 를 쳐야 한다.
33까지 진행했다면? "짝짝"과 같이 박수를 두 번 치는 형태도 있다.
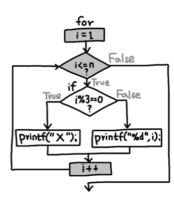
입력 설명
10 보다 작은 정수 1개가 입력된다.
(1 ~ 9)
(1 ~ 9)
출력 설명
1 부터 그 수까지 순서대로 스페이스를 사이에 두고 출력하는데,
3 또는 6 또는 9인 경우 그 수 대신 영문 대문자 X 를 출력한다.
3 또는 6 또는 9인 경우 그 수 대신 영문 대문자 X 를 출력한다.
입력 예시 Copy
9
출력 예시 Copy
1 2 X 4 5 X 7 8 X
도움
기초100제(c)1 v1.5 : 정보교사 커뮤니티 @컴퓨터과학사랑(CSL)
- 중고등학교 정보 선생님들과 함께 정보수업/방과후/동아리활동 등을 통해 재미있게 배워보세요.
- 모든 내용 및 이미지들은 저작자와의 협의 없이 무단으로 사용할 수 없습니다.
- 중고등학교 정보 선생님들과 함께 정보수업/방과후/동아리활동 등을 통해 재미있게 배워보세요.
- 모든 내용 및 이미지들은 저작자와의 협의 없이 무단으로 사용할 수 없습니다.